作者: 发布时间:2023-04-07 浏览次数:
集群系统作为一种新型的非平衡系统出现,成为近几年许多实验和理论研究的主题。由于理解集群系统的非平衡性质方面具有巨大挑战,通常利用最小模型来捕捉其中的物理原理。其中最著名的是Vicsek模型[1],它大大提高了我们对背后物理原理的理解。该模型由自驱动粒子所组成,用相变来描述集群行为的变化。在以往的研究中认为该系统存在三个相:类似气体的无序相,类似液体的有序相,以及有序-无序的共存相。然而,在最新研究发现Vicsek模型的第四个相:cross sea相,这个新相并不是简单的两个波叠加,而是具有固有交叉角的独立复杂图案。因此,在Vicsek模型中确定了四个不同的相:有序相、cross sea相、band相和无序相。然而,精确地识别这些相变点现在变得极其具有挑战性。
近年来,机器学习几乎渗透到科学的各个分支,其中在研究系统的相变方面也具有显著的优势[3,4]。其主要的思想是使用监督学习;对不同相的物理状态进行采样,将其标记作为训练数据集来训练神经网络;训练完成后,利用神经网络来估计测试数据的概率;最后,根据这些概率推断出相变点。目前的研究表明,机器学习方法,相比传统序参量,在识别复杂系统的相变中具有极大的潜力。

图一:Vicsek模型在不同噪声下的典型快照

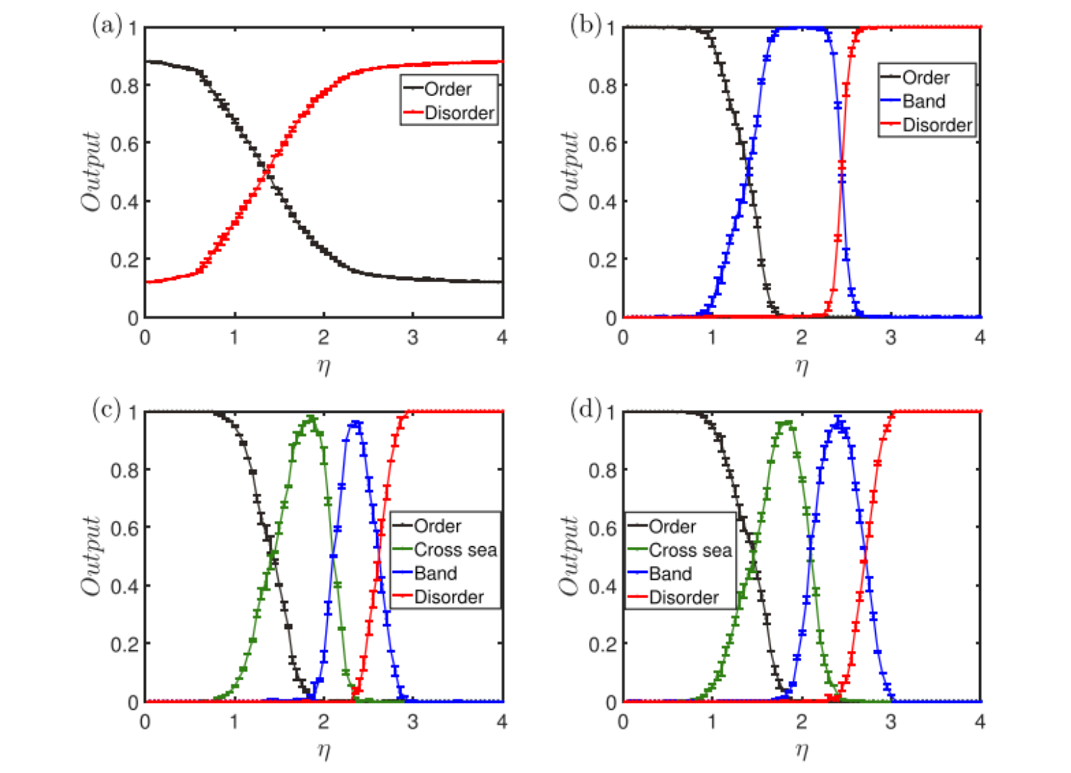
图二:不同尺寸下测试集输出概率随噪音的变化
基于此思想,利用卷积神经网络对Vicesk模型的相变进行了研究,解决了传统序参量不敏感性,不同相边界模糊,甚至无法确定相变的类型等问题。研究发现在大尺寸的系统存在四个相,而且其中相邻两相之间的相变都是一级相变。利用卷积神经网络对不同相进行了高精度的分类,并准确地识别出相变点。
本研究通过结合人工智能(AI)和复杂系统的概念,应用机器学习技术来分析和预测复杂系统的行为。当我们面对各种复杂系统时,通常存在许多变量和相互作用,先验知识是不可用的,这使得我们难以完全理解和掌控这些系统的行为。机器学习是一种人工智能技术,其能力在于利用数据来学习并提高预测精度。本研究是利用机器学习识别集群系统相变,从不同状态的原始数据中提取特征,不仅正确地将给定的状态划分为不同相,而且还可以推断出相变点,这为探索系统中的相变提供了新的可能性。总的来说,人工智能和复杂系统是相互交织的概念,它们相互补充,使我们能够更好地理解各种复杂系统。通过机器学习技术,我们可以从数据中学习并提高预测精度,从而更好地理解和应对各种复杂系统中的挑战。
研究成果以色情直播app 博士研究生薛婷婷和李旭为共同一作,学院韩战钢教授和陕西师范大学陈理教授共同作为通讯作者,学院陈晓松教授合作完成,已发表在期刊Machine Learning: Science and Technology,论文链接//iopscience.iop.org/article/10.1088/2632-2153/acc007,该工作得到国家自然科学基金支持。
[1]Vicsek T, Czirók A, Ben-Jacob E, Cohen I and Shochet O 1995 Phys. Rev. Lett. 75 1226
[2]Kürsten R and Ihle T 2020 Phys. Rev. Lett. 125 188003
[3]Jordan M I and Mitchell T M 2015 Science 349 255
[4]Van Nieuwenburg E P, Liu Y-H and Huber S D 2017 Nat. Phys. 13 435
供稿:薛婷婷
编辑:郝林青
审核:王大辉